background image

Am J Transl Res 2025;17(7):5766-5778

943-8141/AJTR0165484

Original Article

Identification of risk factors  

and development of a high-performance  

predictive model for non-healing in elderly patients  

with intertrochanteric fractures post-internal fixation

Jianyue Wu

1*

, Peng Xu

1*

, Dong Zhang

1

, Yingjie Ni

1

, Jijun Zhao

2

1

Department of Orthopedics, Wuxi Xishan People’s Hospital, Wuxi 214015, Jiangsu, China; 

2

Department of Ortho-

pedics, Wuxi People’s Hospital, Wuxi 214023, Jiangsu, China. 

*

Equal contributors and co-first authors.

Received April 21, 2025; Accepted July 10, 2025; Epub July 25, 2025; Published July 30, 2025

Abstract:

 Objective: To identify risk factors associated with non-healing in elderly patients with intertrochanteric 

femoral fractures treated with internal fixation and to develop a predictive model for non-union risk. Methods: We 

conducted a retrospective analysis of 889 elderly patients treated with internal fixation for intertrochanteric frac

-

tures at Wuxi Xishan People’s Hospital from March 2021 to December 2024. Patients were classified into healing 

(n=806) and poor healing groups (n=83) based on radiographic evidence three months post-surgery. Univariate 

and multivariate logistic regression analyses were used to identify significant risk factors. A predictive model was 

developed and validated using receiver operating characteristic (ROC) analysis and the area under the curve (AUC). 

Results: Significant risk factors for poor healing included smoking history (Odds ratio [OR] 1.750, P=0.022), os

-

teoporosis (OR 2.055, P=0.003), posterior or medial wall bone defects (OR 1.964, P=0.005), low postoperative 

albumin (OR 1.674, P=0.032), and early weight-bearing (OR 1.765, P=0.018). The use of proximal femoral nail 

antirotation (PFNA) significantly reduced the risk of poor-healing (OR 0.515, P=0.006). The combined predictive 

model achieved an AUC of 0.949, indicating high predictive value. Conclusions: Our findings highlight key risk fac

-

tors for non-healing in elderly patients post-internal fixation for intertrochanteric fractures. The developed predictive 

model, incorporating clinical, biochemical, and surgical factors, offers high accuracy and may help identify high-risk 

patients for targeted intervention.

Keywords:

 Intertrochanteric fractures, internal fixation, non-healing risk factors, elderly patients, predictive model, 

orthopedic surgery

Introduction

Intertrochanteric fractures, occurring between 

the  femur’s  greater  and  lesser  trochanters, 

pose  a  significant  threat  to  elderly  patients, 

with high rates of morbidity and mortality [1]. 

These fractures account for approximately half 

of all hip fractures in this age group [2]. As life 

expectancy  increases  and  the  elderly  popula

-

tion grows worldwide, the incidence of these 

fractures  is  expected  to  rise  [3].  This  trend 

underscores the need for better management 

strategies for post-surgical care [4].

Internal fixation using devices such as dynamic 

hip screws (DHS) or intramedullary nails is the 

standard treatment [5]. The goal of surgery is to 

restore  mobility  and  function.  However,  some 

patients  experience  non-healing  or  delayed 

healing after the procedure [6, 7]. Non-healing 

refers to the failure of the fracture to unite  

within an expected timeframe, resulting in pro

-

longed immobility, persistent pain, and an 

increased risk of complications such as non-

union  or  implant  failure  [8].  Identifying  the 

causes of non-healing is crucial for improving 

patient outcomes [9].

Previous studies have identified several factors 

that may contribute to non-healing in elderly 

patients following internal fixation for intertro

-

chanteric fractures [10, 11]. These patient-spe

-

background image

Risk factors and predictive model for non-healing

5767 

Am J Transl Res 2025;17(7):5766-5778

cific  factors  significantly  influence  the  body’s 

response to injury and healing [12].

Fracture-related factors, such as fracture type, 

displacement of bone fragments, and the de- 

gree of comminution, are important for deter-

mining  the  stability  of  fixation  and  the  biolo-

 

gical  conditions  required  for  healing  [13,  14]. 

Treatment-related factors, including the choice 

of fixation device, timing of surgery, and the sur

-

geon’s skill, also play a crucial role in healing 

outcomes [15].

While these risk factors are known, there is a 

lack of well-established models to predict 

which  patients  are  most  likely  to  experience 

non-healing after surgery [15]. Developing such 

models requires a comprehensive analysis of 

how  these  risk  factors  interact  and  influence 

patient  outcomes  [16].  Advances  in  statistics 

and machine learning offer promising oppor- 

tunities to create robust predictive tools that 

could greatly enhance clinical decision-making 

and individualized patient care [16].

Recent studies using predictive analytics in 

orthopedics have shown promising results, 

emphasizing the value of integrating various 

types  of  data  into  unified  models  [17].  These 

models may assist in identifying high-risk 

patients prior to surgery, enabling tailored 

approaches such as closer postoperative mo- 

nitoring, enhanced nutritional support, or per-

sonalized rehabilitation plans. Testing these 

models on independent datasets is crucial to 

ensure their reliability across different clinical 

settings.

This study has two primary objectives: (1) to 

identify risk factors for non-healing in elderly 

patients following internal fixation for intertro

-

chanteric fractures, and (2) to develop and vali-

date a predictive model based on these fac-

tors.  By  systematically  examining  the  variabl-

 

es associated with non-healing, this research 

aims  to  contribute  to  existing  knowledge  and 

provide clinicians with a practical tool to miti-

gate the risks of non-healing.

Materials and methods

Research design and participants

A retrospective analysis was conducted on 

elderly patients who underwent internal fixation 

for intertrochanteric femoral fractures at Wuxi 

Xishan People’s Hospital between March 2021 

and December 2024. Patients were classi- 

fied into two groups based on their healing sta

-

tus three months after surgery: a poor healing 

group (n=83) and a healing group (n=806). 

Fractures  were  classified  as  poorly  healed  if 

X-ray images showed visible fracture lines, 

breakage  of  fixation  devices,  misalignment  of 

fractures, or loosening or detachment of the 

plate from the bone shaft, all indicative of inad-

equate bone healing.

Approval for this study was granted by the 

Institutional  Review  Board  of  Wuxi  Xishan 

People’s  Hospital.  Basic  patient  information 

was  obtained  from  the  hospital’s  electronic 

case records. Since the study involved de-iden-

tified  patient  data,  informed  consent  was 

waived,  with  this  exemption  approved  by  the 

hospital’s Ethics Review Committee. Data col

-

lection and analysis followed ethical guide- 

lines set by the hospital’s ethics committee.

Selection criteria

Inclusion criteria were as follows: (1) Initial diag-

nosis of intertrochanteric femoral fractures 

confirmed  through  imaging;  (2)  Underwent 

internal fixation surgery for these fractures at 

our hospital; (3) Aged 65 years or older; (4) 

Availability of complete clinical data.

Exclusion  criteria  included:  (1)  Severe  organ 

dysfunction (heart, lung, liver, or kidney); (2) 

Lower limb paralysis or sensory and motor 

impairments; (3) Loss to follow-up after sur- 

gery or incomplete follow-up; (4) Mental illness 

or inability to communicate normally or com-

plete assessments.

Data collection

Baseline data were collected from the hospi-

tal’s case management system, including gen

-

der, age, body mass index (BMI), fracture type, 

and underlying conditions such as diabetes 

mellitus, hypertension, and osteoporosis. Addi- 

tional socioeconomic data, including ethni- 

city, educational level, and monthly household 

income, were also gathered.

Blood samples (5 ml) were collected before and 

after  surgery.  Hemoglobin  and  albumin  levels 

were measured using an automated blood ana-

background image

Risk factors and predictive model for non-healing

5768 

Am J Transl Res 2025;17(7):5766-5778

lyzer (Sysmex XN-1000, Japan). C-reactive pro

-

tein (CRP) and interleukin-6 (IL-6) levels were 

assessed using an IMMAGE Immunoassay 

System (Beckman Coulter, USA). Vitamin D lev-

els were measured with a Waters ACQUITY 

UPLC System linked to a Xevo TQ-S tandem 

mass spectrometer (Waters Corporation, USA).

Grading criteria

Fracture alignment was assessed using the 

Garden  alignment  index,  based  on  angles 

observed in both anteroposterior and lateral 

X-rays  [18].  Fracture  stability  was  classified 

using the Arbeitsgemeinschaft für Osteosyn- 

thesefragen (AO)/Orthopaedic Trauma Asso- 

ciation (OTA) system [19]. Stable fractures were 

classified as A1.1 to A2.1, while highly unstable 

fractures were categorized as A2.2 to A3.3.

Preoperative health status was evaluated us- 

ing the American Society of Anesthesiologists 

(ASA) physical status classification [20]. ASA I 

patients were healthy individuals with no coex

-

isting conditions, while ASA II patients had mild 

systemic disease without functional limitations. 

ASA III patients had moderately severe system-

ic disease with restricted activity, and ASA IV 

patients had severe disease with poor car- 

diopulmonary function, indicating a moribund 

state. No ASA V patients were included in this 

study.

Psychological and cognitive assessments

Several standardized tools were used to as- 

sess mental health and cognitive function. The 

Conners’ Parent Symptom Questionnaire (PSQ) 

measured  anxiety  and  behavioral  problems, 

with higher scores indicating more severe 

issues. The Stroop Color-Word Interference 

Test assessed attentional inhibitory control, 

with lower scores reflecting better performan-

 

ce. The Wisconsin Card Sorting Test (WCST) 

evaluated  executive  function  and  adaptability 

to changing rules. The Alternate Uses Task 

measured cognitive flexibility and creativity by 

asking participants to suggest alternative uses 

for common objects. The Pittsburgh Sleep 

Quality  Index  (PSQI)  assessed  sleep  quality, 

with higher scores indicating poorer sleep. The- 

se assessments were conducted preoperative-

ly to explore associations with surgical healing 

outcome.

Statistical analysis

Statistical analysis was performed using SPSS 

software (version 24.0). Categorical variables 

were reported as percentages and frequen- 

cies, and comparisons were made using the χ

2

 

test. Continuous variables were assessed for 

normality using the Shapiro-Wilk test; those 

conforming  to  a  normal  distribution  were  ex-

 

pressed as means ± standard deviations (X ± 

sd), and group comparisons were performed 

using independent samples t-tests. Logistic 

regression  was  used  to  identify  factors  influ

-

encing  nonunion  following  internal  fixation  for 

intertrochanteric femoral fractures. Receiver 

operating characteristic (ROC) curves were 

 

constructed, and the area under the curve 

(AUC) was calculated to evaluate the predictive 

accuracy of the risk model. An AUC greater than 

0.9 indicates high accuracy, between 0.71 and 

0.90 suggests moderate accuracy, and be- 

tween  0.5  and  0.7  signifies  poor  accuracy. 

Additionally, Decision Curve Analysis (DCA), cal-

ibration curves, and a nomogram were devel-

oped to assess the clinical utility and predic- 

tive performance of the model. Statistical sig-

nificance was defined as a 

P

-value <0.05. The 

goodness-of-fit for the risk model was evaluat

-

ed using the Hosmer-Lemeshow test, where a 

P

-value >0.05 indicates adequate model fit.

Results

Comparison of demographic and basic data

A total of 889 elderly patients with intertro-

chanteric fractures who underwent internal fix

-

ation surgery were analyzed to identify risk fac-

tors associated with poor healing (

Table 1

). No 

significant differences were observed between 

the two groups in terms of gender distribution, 

age, BMI, ethnicity, hypertension, hyperlipid-

emia, educational level, or monthly household 

income per person (all P>0.05). However, cer

-

tain factors were significantly associated with 

poor  healing  outcomes.  Specifically,  a  higher 

prevalence of a smoking history (P=0.014) and 

diabetes mellitus (P=0.046) were observed in 

the poor healing group. Additionally, osteoporo-

sis was more common in the poor healing group 

compared to the healing group (P=0.003).

Comparison of fracture characteristics

No significant differences were found between 

the healing and poor healing groups regarding 

background image

Risk factors and predictive model for non-healing

5769 

Am J Transl Res 2025;17(7):5766-5778

Table 1.

 Comparison of baseline data of patients

Data

Healing group (n=806)

Poor healing group (n=83)

t/x

2

P

Gender [n (%)]

0.088 0.767

    Male

365 (45.29%)

39 (46.99%) 

    Female

441 (54.71%)

44 (53.01%)

Age (years)

68 ± 6

69 ± 6

1.028 0.304

Ethnicity (Han/Other) [n (%)]

742 (92.06%)

77 (92.77%)

0.053 0.819

BMI (kg/m

2

)

20.29 ± 6.43

19.61 ± 3.54

1.512 0.133

Smoking History [n (%)]

381 (47.27%)

51 (61.45%) 

6.053 0.014

Diabetes Mellitus [n (%)]

383 (47.52%)

49 (59.04%) 

3.996 0.046

Hypertension [n (%)]

445 (55.21%)

50 (60.24%) 

0.772 0.380

Hyperlipidemia [n (%)]

438 (54.34%)

49 (59.04%) 

0.669 0.413

Osteoporosis [n (%)]

329 (40.82%)

48 (57.83%) 

8.917 0.003

Educational level [n (%)]

0.012 0.912

    High school or below

539 (66.87%)

56 (67.47%)

    Junior college or above

267 (33.13%)

27 (32.53%)

Monthly household income/person [n (%)]

0.033 0.855

    <5000

448 (55.58%)

47 (56.63%)

    ≥5000

358 (44.42%)

36 (43.37%)

BMI: Body Mass Index.

Table 2.

 Comparison of fracture characteristics of patients

Data

Healing group (n=806)

Poor healing group (n=83)

t/x

2

P

Fracture Type [n (%)]

0.303 0.582

    Stable

414 (51.36%)

40 (48.19%)

    Unstable

392 (48.64%)

43 (51.81%)

Garden Alignment Index [n (%)]

1.352 0.245

    Ideal

423 (52.48%)

38 (45.78%)

    Non-ideal

383 (47.52%)

45 (54.22%)

Posterior or Medial Wall Bone Defect [n (%)]

296 (36.72%)

44 (53.01%) 

8.452 0.004

Cause of Fracture [n (%)]

1.175 0.556

    Traffic Accident

262 (32.51%)

29 (34.94%))

    Fall from Height

240 (29.78%)

20 (24.10%)

    Fall

304 (37.72%)

34 (40.96%)

AO/OTA [n (%)]

0.382 0.536

    A1.1-A2.1

418 (51.86%)

46 (55.42%) 

    A2.2-A3.3

388 (48.14%)

37 (44.58%)

ASA score [n (%)]

0.005 0.943

    I/II

314 (38.96%) 

32 (38.55%) 

    III/IV

492 (61.04%)

51 (61.45%)

Time to Weight Bearing (d)

5.182 0.023

    ≤15

409 (50.74%)

53 (63.86%) 

    >15

397 (49.26%)

30 (36.14%)

AO/OTA: Arbeitsgemeinschaft für Osteosynthesefragen/Orthopaedic Trauma Association; ASA: American Society of Anesthesi-

ologists.

fracture type (P=0.582), Garden Alignment 

Index (P=0.245), cause of fracture (P=0.556), 

AO/OTA classification (P=0.536), or ASA score 

(P=0.943) (

Table 2

). However, significant differ

-

background image

Risk factors and predictive model for non-healing

5770 

Am J Transl Res 2025;17(7):5766-5778

Table 3.

 Comparison of blood test indicators [n (%)]

Index

Healing group (n=806)

Poor healing group (n=83)

t/x

2

P

Preoperative Hemoglobin (g/L)

0.051

0.822

    <110

446 (55.33%)

47 (56.63%) 

    ≥110

360 (44.67%

36 (43.37%)

Preoperative Albumin (g/L)

6.385

0.012

    ≤30

285 (35.36%)

41 (49.4%)

    >30

521 (64.64%)

42 (50.6%)

Preoperative CRP (mg/L)

3.76 ± 1.51

4.23 ± 2.14

1.927

0.057

Preoperative IL-6 (pg/mL)

12.45 ± 3.52

13.32 ± 4.25

1.807

0.074

Preoperative Vitamin D Level (ng/mL)

23.21 ± 8.55

21.87 ± 7.32

1.378

0.168

Postoperative Hemoglobin (g/L)

3.524

0.060

    <110

566 (70.22%)

50 (60.24%) 

    ≥110

240 (29.78%)

33 (39.76%)

Postoperative Albumin (g/L)

6.149

0.013

    ≤30

278 (34.49%)

40 (48.19%) 

    >30

528 (65.51%)

43 (51.81%)

Postoperative CRP (mg/L)

2.73 ± 1.14

3.05 ± 1.53

1.856

0.067

Postoperative IL-6 (pg/mL)

10.55 ± 2.86

11.31 ± 3.91

1.718

0.089

Postoperative Vitamin D Level (ng/mL)

22.15 ± 8.23

20.76 ± 7.18

1.479

0.140

CRP: C-reactive Protein; IL-6: Interleukin-6.

ences were noted for posterior or medial wall 

bone defects and time to weight bearing. A 

higher proportion of patients in the poor heal-

ing group had posterior or medial wall bone 

defects compared to the healing group (P= 

0.004). Additionally, the poor healing group 

showed  a  significantly  greater  proportion  of 

patients who began weight bearing within 15 

days post-surgery (P=0.023).

Comparison of blood test indicators

The poor healing group exhibited a higher per

-

centage of patients with preoperative albumin 

levels ≤30 g/L (P=0.012, χ

2

=6.385) and post-

operative  albumin  levels  ≤30  g/L  (P=0.013, 

χ

2

=6.149) compared to the healing group 

(

Table 3

). No significant differences were found 

in preoperative hemoglobin levels (P=0.822), 

postoperative hemoglobin levels (P=0.060), 

preoperative CRP (P=0.057), preoperative IL-6 

(P=0.074), preoperative Vitamin D levels (P= 

0.168), postoperative CRP (P=0.067), postop-

erative IL-6 (P=0.089), or postoperative Vitamin 

D levels (P=0.140) between the two groups. 

Comparison of surgical-related factors

The healing group had a higher percentage of 

patients treated with proximal femoral nail anti

-

rotation (PFNA) compared to the poor healing 

group, while the poor healing group had a high-

er  proportion  of  patients  treated  with  DHS 

(P=0.012) (

Table 4

). No significant differences 

were observed between the groups in terms of 

time from fracture to surgery (P=0.398), surgi-

cal time (P=0.132), or intraoperative blood loss 

(P=0.389).

Comparison of preoperative psychological and 

cognitive tests

The preoperative psychological and cognitive 

evaluations revealed some trends approaching 

statistical  significance  between  the  healing 

 

and poor healing groups (

Table 5

). Specifically, 

Stroop Test results showed a trend toward sig-

nificance,  with  the  poor  healing  group  scor-

 

ing slightly higher than the healing group 

(t=1.961, P=0.053). No significant differences 

were found for other measures: PSQ scores, 

WCST results, and Alternative Use Task per- 

formance  showed  no  significant  differences 

between the two groups.

Correlation analysis

The correlation analysis of various indicators 

identified  several  significant  factors  for  non

-

union after internal fixation in elderly patients 

background image

Risk factors and predictive model for non-healing

5771 

Am J Transl Res 2025;17(7):5766-5778

Table 4.

 Analysis of surgical related factors

Factor

Healing group (n=806)

Poor healing group (n=83)

t/x

2

P

Time from Fracture to Surgery (d)

2.30 ± 0.55

2.34 ± 0.42

0.849

0.398

Internal fixation method

6.317

0.012

    PFNA

456 (56.58%) 

35 (42.17%)

    DHS

350 (43.42%)

48 (57.83%)

Surgical Time (h)

49.89 ± 5.60

50.65 ± 4.18

1.517

0.132

Intraoperative Blood Loss (ml)

125.61 ± 23.18

128.46 ± 29.07

0.866

0.389

PFNA: Proximal femoral nail antirotation; DHS: Dynamic hip screw.

Table 5.

 Comparison of preoperative psychological and cognitive evaluation of patients

Test

Healing group (n=806)

Poor healing group (n=83)

t

P

PSQ Score

13.08 ± 3.15

13.65 ± 3.24

1.570

0.117

Stroop Test Result

49.52 ± 6.31

51.17 ± 7.42

1.961

0.053

WCST results

22.13 ± 2.55

21.54 ± 3.14

1.661

0.100

Alternative Use Task Performance

78.32 ± 10.32

76.45 ± 11.24

1.558

0.120

PSQI Score

6.83 ± 2.21

7.27 ± 2.44

1.687

0.092

PSQ: Parent Symptom Questionnaire; WCST: Wisconsin Card Sorting Test; PSQI: Pittsburgh Sleep Quality Index.

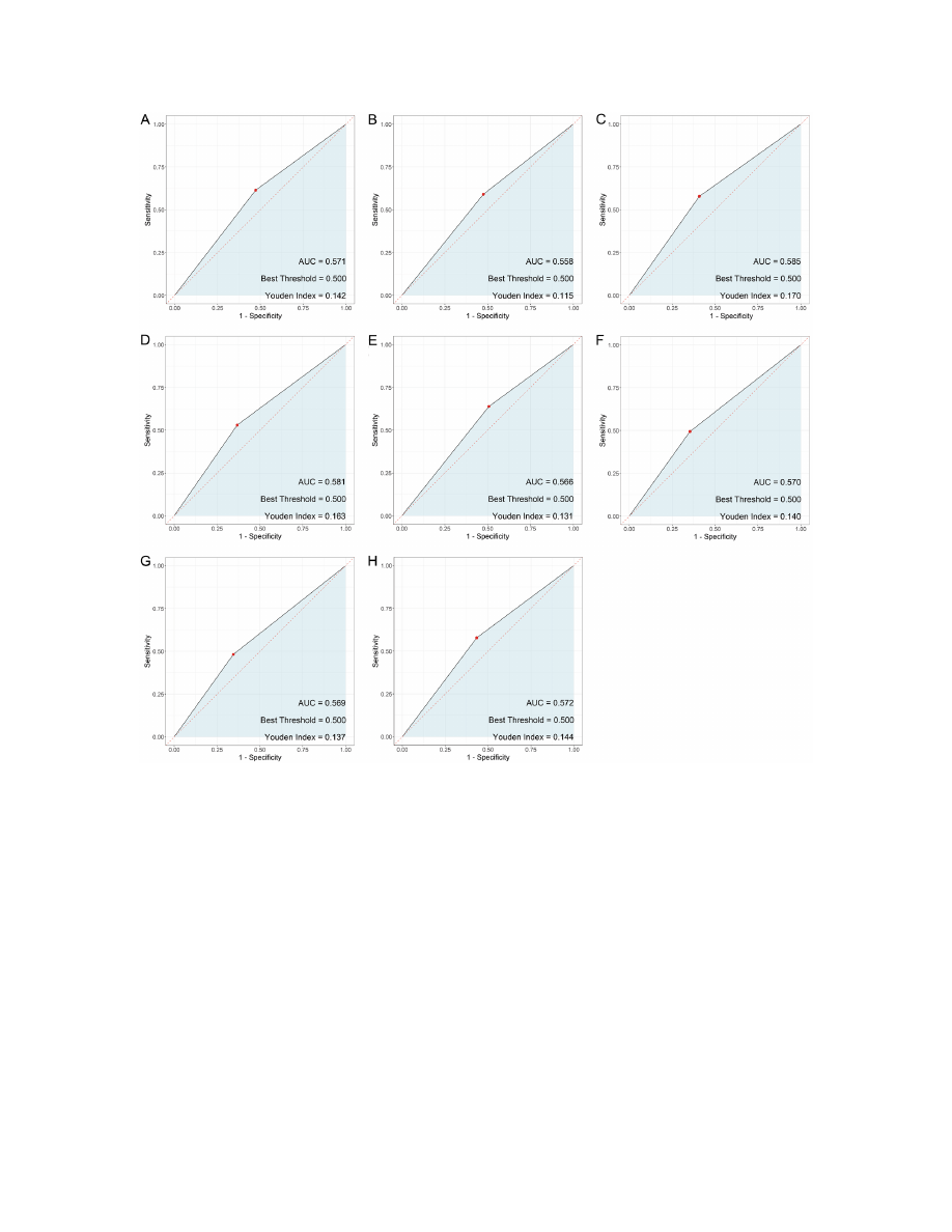
Figure 1.

 Correlation analysis of various indicators with nonunion after internal fixation in elderly patients with inter

-

trochanteric femoral fractures. PFNA: Proximal femoral nail antirotation; DHS: Dynamic hip screw.

with intertrochanteric femoral fracture (

Figure 

1

). Smoking history (rho=0.083, P=0.014) and 

diabetes mellitus (rho=0.067, P=0.046) were 

positively correlated with nonunion. Osteopo- 

background image

Risk factors and predictive model for non-healing

5772 

Am J Transl Res 2025;17(7):5766-5778

Table 6.

 Univariate logistic regression analysis of risk factors

Coefficient

Std Error

Wald

P

OR

CI Lower CI Upper

Smoking History 

0.575

0.236

2.435

0.015

1.778

1.125

2.849

Diabetes Mellitus 

0.465

0.234

1.986

0.047

1.592

1.010

2.536

Osteoporosis

0.687

0.234

2.943

0.003

1.988

1.262

3.162

Posterior or Medial Wall Bone Defect

0.665

0.232

2.868

0.004

1.944

1.235

3.071

Preoperative Albumin (g/L) (≤30/>30)

0.539

0.239

2.256

0.024

1.715

1.081

2.768

Postoperative Albumin (g/L) (≤30/>30)

0.579

0.232

2.501

0.012

1.785

1.132

2.813

Time to Weight Bearing (d) (≤15/>15)

0.569

0.232

2.455

0.014

1.767

1.119

2.785

Internal fixation method

-0.580

0.233

2.487

0.013

0.560

0.352

0.882

Table 7.

 Multivariate logistic regression analysis of risk factors

Coefficient

Std Error Wald

P

OR

OR CI Lower OR CI Upper

Smoking History 

0.559

0.244

2.292 0.022 1.750

1.084

2.823

Diabetes Mellitus 

0.432

0.243

1.779 0.075 1.541

0.957

2.480

Osteoporosis

0.720

0.241

2.992 0.003 2.055

1.282

3.294

Posterior or Medial Wall Bone Defect

0.675

0.239

2.818 0.005 1.964

1.228

3.140

Preoperative Albumin (g/L) (≤30/>30)

0.418

0.248

1.690 0.091 1.520

0.935

2.469

Postoperative Albumin (g/L) (≤30/>30)

0.515

0.240

2.150 0.032 1.674

1.047

2.678

Time to Weight Bearing (d) (≤15/>15)

0.568

0.241

2.361 0.018 1.765

1.101

2.829

Internal fixation method

-0.664

0.242 -2.748 0.006 0.515

0.321

0.827

rosis (rho=0.100, P=0.003) and posterior or 

medial wall bone defects (rho=0.098, P=0.004) 

also demonstrated positive correlations with 

nonunion. Nutritional status, indicated by albu-

min levels, showed that low preoperative (≤30 

g/L) and postoperative albumin levels were cor-

related with nonunion (rho=0.076, P=0.023; 

rho=0.085, P=0.011, respectively). Additionally, 

early weight bearing (≤15 days) correlated po-

 

sitively with nonunion (rho=0.083, P=0.013). 

Conversely, the choice of internal fixation meth

-

od showed a negative correlation with non-

union (rho=-0.084, P=0.012). These results 

highlight several clinical and surgical factors 

significantly  associated  with  nonunion  risk  in 

the studied population.

Univariate logistic regression analysis

The univariate logistic regression analysis iden-

tified  several  significant  risk  factors  for  non-

healing in elderly patients with intertrochanter-

ic  fractures  following  internal  fixation  surgery 

(

Table 6

). Smoking history was associated with 

an increased odds of non-healing, with an odds 

ratio (OR) of 1.778 (P=0.015). Similarly, diabe-

tes  mellitus  was  significantly  associated  with 

non-healing, with an OR of 1.592 (P=0.047). 

Osteoporosis was a strong predictor, with an 

OR of 1.988 (P=0.003). The presence of poste-

rior  or  medial  wall  bone  defects  significantly 

increased the risk of non-healing, with an OR of 

1.944 (P=0.004). Patients with preoperative 

albumin levels ≤30 g/L had higher odds of non-

healing (P=0.024), as did those with postopera-

tive  albumin  levels  ≤30  g/L  (P=0.012).  Early 

weight-bearing (≤15 days) was also associated 

with increased odds of non-healing (P=0.014). 

In contrast, the use of PFNA was associated 

with reduced odds of non-healing (P=0.013), 

suggesting it has a protective role against 

nonunion.

Multivariate logistic regression analysis

The multivariate logistic regression analysis 

identified several independent risk factors sig

-

nificantly associated with non-healing in elder-

 

ly patients with intertrochanteric fracture post-

internal fixation surgery (

Table 7

). Smoking his-

tory remained a significant risk factor, with an 

OR of 1.750 (P=0.022). Osteoporosis emerg- 

ed as a strong predictor, with an OR of 2.055 

(P=0.003). The presence of posterior or medial 

wall bone defects was also significantly associ

-

ated with non-healing risk, with an OR of 1.964 

background image

Risk factors and predictive model for non-healing

5773 

Am J Transl Res 2025;17(7):5766-5778

Figure 2.

 Predictive value of each in-

dex for non-union in elderly patients 

with intertrochanteric fracture after 

internal fixation. A. Smoking History; 

B. Diabetes Mellitus; C. Osteoporo-

sis; D. Posterior or Medial Wall Bone 

Defect; E. Time to Weight Bearing 

(≤15  d/>15  d);  F.  Postoperative  Al

-

bumin  (≤30  g/L/>30  g/L);  G.  Post

-

operative Hemoglobin (≤30 g/L/>30 

g/L); H. Internal fixation method.

(P=0.005). While preoperative albumin levels 

showed  a  trend  towards  significance,  postop

-

erative albumin levels ≤30 g/L were significant

-

ly associated with non-healing (P=0.032). Early 

weight bearing (≤15 days) was associated with 

an increased risk of non-healing (P=0.018). 

Conversely,  the  use  of  a  PFNA  significantly 

reduced the likelihood of non-healing, with an 

OR of 0.515 (P=0.006). Diabetes mellitus 

(P=0.075) and preoperative albumin levels 

(P=0.091)  did  not  reach  statistical  significan-

 

ce in this multivariate analysis, indicating that 

their effects may be confounded by other vari-

ables in the model. These findings emphasize 

the importance of managing targeted risk fac-

tors to optimize patient outcome.

ROC analysis

The analysis of predictive values for non-union 

in elderly patients with intertrochanteric frac-

tures  following  internal  fixation  surgery  high

-

lights variable predictive capabilities among 

different factors (

Figure 2

). Osteoporosis dem-

onstrated the highest sensitivity (0.578) and a 

specificity of 0.592, with an AUC of 0.585, indi

-

cating moderate discrimination between heal-

ing outcomes. Posterior or medial wall bone 

defects  exhibited  a  specificity  of  0.633  and 

sensitivity of 0.530, with an AUC of 0.581. 

Smoking history, diabetes mellitus, and preop-

erative albumin levels displayed similar predic-

tive performance, with AUCs of 0.571, 0.558, 

background image

Risk factors and predictive model for non-healing

5774 

Am J Transl Res 2025;17(7):5766-5778

Figure 3.

 The joint prediction model for non-union in elderly patients following internal fixation for intertrochanteric 

femoral fractures. A. Nomogram; B. Joint ROC Curve; C. DCA; D. Calibration Curves. ROC: receiver operator charac-

teristic; AUC: area under the curve; DCA: Decision Curve Analysis.

and 0.566, respectively, and Youden indices 

indicating limited predictive separation. Post- 

operative albumin levels and time to weight-

bearing also had moderate specificities (0.646 

and 0.655, respectively), but lower sensitivi-

ties, yielding AUCs of 0.570 and 0.569. The 

internal  fixation  method  revealed  balanced 

sensitivity and specificity, with values of 0.578 

and 0.566, respectively, and an AUC of 0.572. 

Overall, these indicators provide moderate pre-

dictive information, suggesting that a multifac-

torial approach is necessary for accurately pre-

dicting non-union risk. The F1 scores, par- 

ticularly for osteoporosis (0.209) and bone 

defects (0.208), suggest a need for further 

refinement  in  predictive  modeling  to  enhance 

clinical utility.

Joint prediction model

This study combined various risk factors af- 

fecting non-healing in elderly patients with 

intertrochanteric femoral fracture after internal 

fixation  to  construct  a  comprehensive  predic

-

tive model for post-surgical non-union (

Figure 

3

). The nomogram, based on multivariate re- 

gression analysis, accurately predicted individ-

ualized risk scores, with strong performance 

background image

Risk factors and predictive model for non-healing

5775 

Am J Transl Res 2025;17(7):5766-5778

confirmed  through  internal  validation.  The 

model achieved an AUC of 0.949, indicating 

exceptional  predictive  value.  The  Decision 

Curve Analysis (DCA) demonstrated that our 

model  provided  a  higher  net  benefit  across  a 

wide range of clinically relevant probability 

thresholds, suggesting that it can effectively 

identify high-risk patients. This allows clinicians 

to make informed decisions about targeted pre-

ventive intervention. Calibration curves showed 

excellent agreement between predicted proba

-

bilities and observed outcomes, confirming the 

model’s reliability. Overall, these results affirm 

the robustness and clinical utility of our predic-

tive model for post-surgical non-union.

Discussion

This study investigated risk factors for non-

healing in elderly patients with intertrochanter-

ic  femoral  fractures  treated  with  internal  fixa

-

tion and developed a predictive model to 

identify patients at increased risk. Our results 

indicate that a history of smoking, osteoporo-

sis, and posterior or medial wall bone defects 

are  significantly  associated  with  poor  healing 

after surgery. These findings enhance our un-

 

derstanding of the factors that may compro-

mise healing and underscore the importance  

of comprehensive management strategies for 

these patients.

The  significant  association  between  smoking 

and non-healing aligns with existing literature, 

which shows that smoking impairs bone heal-

ing [21, 22]. Cigarette toxinsincluding nicotine, 

disrupt osteoblast activity and reduce blood 

flow to the fracture site, hindering bone repair 

[22]. Smoking also impedes angiogenesis and 

reduces oxygen levels at the healing site, both 

of which are crucial for successful fracture 

repair [23]. Chronic smoking weakens the im-

 

mune response, potentially delaying the early 

inflammatory  phase  that  is  essential  for  in-

 

itiating healing [24]. Collectively, these effects 

emphasize the importance of smoking cessa-

tion as part of orthopedic care for improving 

healing outcomes.

Osteoporosis  emerged  as  another  significant 

predictor in our analysis. Characterized by 

reduced bone density and weakened bone 

structure, osteoporosis is a known contributor 

to fracture non-union [25]. The pathophysiology 

of osteoporosis involves an imbalance in bone 

remodeling, with increased osteoclast activity 

and  decreased  osteoblast  function  [26].  This 

imbalance leads to porous bone architecture 

and diminished mechanical stability, both of 

which are essential for successful fracture 

healing  [27].  Additionally,  the  reduced  osteo

-

genic potential in osteoporotic bone can result 

in delayed callus formation and inferior callus 

quality, further complicating the healing pro-

cess  [28].  Pharmacologic  management  of  os-

 

teoporosis, such as bisphosphonates to inhibit 

osteoclast-mediated bone resorption or newer 

anabolic treatments, may be beneficial in pro

-

moting fracture healing.

Our analysis also identified posterior or medial 

wall bone defects as significant factors contrib

-

uting to poor healing outcome. The integrity of 

these bone walls is crucial for maintaining the 

stability and alignment of fracture fragments 

during  the  healing  process  [29].  Defects  in 

these areas can compromise mechanical sup-

port and lead to increased micromovement at 

the fracture site, which impedes bone regener-

ation [30]. Biomechanically, stability during the 

initial  inflammatory  stage  of  bone  healing  is 

critical, as it sets the stage for subsequent 

repair  and  remodeling  [31].  Addressing  these 

defects surgically, using techniques such as 

bone  grafting  or  reinforced  fixation  methods, 

may improve outcome by providing enhanced 

mechanical stability.

Moreover, our findings indicate that both preop

-

erative and postoperative serum albumin le- 

vels are important indicators of nutritional sta-

tus  and  correlate  with  healing  outcome.  Hy-

 

poalbuminemia, a marker of poor nutritional 

status, is critical for collagen synthesis, wound 

healing,  and  overall  tissue  regeneration  [32]. 

Adequate nutrition supports cellular processes 

essential for healing, including osteogenic cell 

proliferation and effective immune function 

[33].  Therefore,  optimizing  nutrition  through 

dietary interventions or supplementation, sh- 

ould be emphasized preoperatively and main-

tained throughout recovery to facilitate optimal 

healing.

Interestingly, early postoperative weight-bear-

ing was identified as a risk factor for non-union. 

While early mobilization can reduce complica-

tions such as deep vein thrombosis and en- 

hance physical conditioning, excessive loading 

on an unstable fracture can hinder bone heal-

background image

Risk factors and predictive model for non-healing

5776 

Am J Transl Res 2025;17(7):5766-5778

ing [34]. This highlights the need for a balanced 

approach to postoperative management, where 

a tailored, patient-specific weight-bearing pro

-

tocol is essential to ensure that movement 

does not compromise the integrity of the heal-

ing bone [35].

The  type  of  internal  fixation  used  during  sur-

 

gery  also  significantly  affected  healing.  Our 

data showed that PFNA reduced the risk of 

non-union compared to DHS. The PFNA design 

provides better stability by controlling rotation 

and distributing force more effectively along 

the  bone  [36].  This  enhanced  stability  likely 

explains  the  lower  non-union  rates  observed 

with PFNA, suggesting that surgeons should 

carefully  consider  the  fixation  method  and  its 

ability to maintain bone stability when planning 

an operation.

Our predictive model, with a high AUC of 0.949, 

demonstrates that these risk factors collective-

ly  offer  robust  predictive  value.  The  model’s 

high predictive accuracy reinforces the con- 

cept that fracture healing is multifactorial, with 

clinical, biochemical, and surgical factors all 

contributing to the risk of non-union. Imple- 

menting this model in clinical practice may help 

identify high-risk patients earlier, allowing for 

timely  interventions  based  on  each  patient’s 

specific  risks  and  potentially  improving  out-

 

come.

While this study provides valuable insights, its 

limitations must be acknowledged. The retro-

spective nature of the analysis may have over-

looked factors not captured in the data. Fu- 

ture research should involve larger, prospective 

studies tracking patients over time to validate 

these findings. Such studies could also investi

-

gate additional factors, such as genetic mark-

ers  or  specific  surgical  techniques,  to  further 

refine the model.

In conclusion, our research illustrated that sev-

eral modifiable and non-modifiable risk factors 

significantly  influence  healing  outcomes  in 

elderly patients undergoing internal fixation for 

intertrochanteric femoral fracture. Key strate-

gies to reduce the risk of non-healing include 

smoking cessation, osteoporosis management, 

optimal surgical technique selection, and en- 

suring adequate nutrition. These interventions 

are crucial for improving both functional out-

comes and quality of life in these vulnerable 

patients. Further advancements in predictive 

models will enable more personalized care, ulti-

mately enhancing surgical success.

Acknowledgements

This study was supported by the Wuxi Municipal 

Health Commission (No. M202246).

Disclosure of conflict of interest

None.

Address  correspondence  to:

 Jijun Zhao, Depart- 

ment  of  Orthopedics,  Wuxi  People’s  Hospital,  No. 
299 Qingyang Road, Wuxi 214023, Jiangsu, China. 

E-mail: zhaojijun2024@126.com

References

[1] 

Zhang J, Fan X, Zheng Y, Wu J and Yuan X. Intra-

venous application of tranexamic acid in intra

-

medullary nailing for the treatment of geriatric 

intertrochanteric fractures: a systematic re-

view and meta-analysis. BMC Musculoskelet 

Disord 2023; 24: 614.

[2] 

Yang F, Li X, Zhao L and Yang Q. Dual-screw 

versus single-screw cephalomedullary nails for 

intertrochanteric femoral fractures: a system-

atic review and meta-analysis. J Orthop Surg 

Res 2023; 18: 607.

[3]  Yalın M, Golgelioglu F and Key S. Intertrochan

-

teric femoral fractures: a comparison of clini-

cal and radiographic results with the proximal 

femoral intramedullary nail (PROFIN), the anti-

rotation proximal femoral nail (A-PFN), and the 

InterTAN Nail. Medicina (Kaunas) 2023; 59: 

559.

[4] 

Xie W, Shi L, Zhang C, Cui X, Chen X, Xie T, 

Zhang S, Chen H and Rui Y. Anteromedial corti

-

cal support reduction of intertrochanteric frac-

tures-a review. Injury 2024; 55: 111926.

[5]  Wang H, Chen M, Wu Y and Ge J. 3D printing in 

intertrochanteric fractures of the femur. Mi-

nerva Pediatr (Torino) 2023; 75: 627-629.

[6] 

Tang Y, Wang D, Wang L, Xiong W, Fang Q, Lin 

W and Wang G. The PFNA in treatment of inter-

trochanteric fractures with or without lateral 

wall fracture in elderly patients: a retrospective 

cohort study. Eur J Med Res 2023; 28: 380.

[7] 

T J and Kwek EBK. Are intertrochanteric frac-

tures evolving? Trends in the elderly popula-

tion over a 10-year period. Clin Orthop Surg 

2022; 14: 13-20.

[8]  Sniderman J, Vivekanantha P, Shah A, Safir O, 

Wolfstadt J and Kuzyk P. Hemiarthroplasty for 

unstable intertrochanteric hip fractures: a 

matched cohort study. J Arthroplasty 2023; 

38: 1522-1527.

background image

Risk factors and predictive model for non-healing

5777 

Am J Transl Res 2025;17(7):5766-5778

[9] 

Sivakumar A, Rickman M and Thewlis D. Gait 

biomechanics after proximal femoral nailing of 

intertrochanteric fractures. J Orthop Res 2023; 

41: 862-874.

[10] 

Sekimura T, Son SJ and Lee C. Reverse obliq-

uity intertrochanteric femur fractures: techni-

cal tips to avoid failure. J Orthop Trauma 2023; 

37: S19-S25.

[11]  Schroeder JD, Turner SP and Buck E. Hip frac

-

tures: diagnosis and management. Am Fam 

Physician 2022; 106: 675-683.

[12]  Rincón-Hoyos  JA,  Gómez-Ramírez  JF,  Cuesta-

Montoya JS, Lara-Garavito AM, Muñoz-Medina 

SE and Castro-Dangond AJ. Treatment of inter-

trochanteric fractures using cephalomedullary 

nail: one or two cephalic screws? Injury 2023; 

54 Suppl 6: 110625.

[13] 

Ricci WM. Stability of intertrochanteric femur 

fractures. J Orthop Trauma 2023; 37: S1-S4.

[14] 

Parikh K, Kandemir U and Agarwal A. Intertro-

chanteric hip fractures: pearls and pitfalls in 

managing difficult fractures. Instr Course Lect 

2023; 72: 375-387.

[15]  Nherera L, Trueman P, Horner A, Watson T and 

Johnstone AJ. In reply to the letter to the editor 

regarding “Comparison of a twin interlocking 

derotation and compression screw cephalom-

edullary nail (InterTAN) with a single screw 

derotation  cephalomedullary  nail  (proximal 

femoral nail antirotation): a systematic review 

and meta-analysis for intertrochanteric frac-

tures”. J Orthop Surg Res 2022; 17: 354.

[16] 

Morrison J and Morrison M. Management of 

hip fractures. Crit Care Nurs Clin North Am 

2024; 36: 575-584.

[17] 

Mayor J, Birgel V, Clausen JD, Aktas G, Sehm-

isch S, Einfeldt AK, Giannoudis V, Abdelaal 

AHK and Liodakis E. Lessons learned from bio

-

mechanical studies on cephalomedullary nails 

for the management of intertrochanteric frac-

tures. A scoping review. Injury 2024; 55: 

111180.

[18] 

Garden RS. Stability and union in subcapital 

fractures of the femur. J Bone Joint Surg Br 

1964; 46: 630-647.

[19]  Gu J, He S and Wang L. Analysis of one-year 

postoperative mortality and risk factors of el-

derly patients with intertrochanteric fractures 

after PFNA. Niger J Clin Pract 2022; 25: 1557-

1562.

[20] 

Fjeld A, Fülling T, Bula P and Bonnaire F. Func-

tional outcomes and perceived quality of life 

following fixation of femoral neck fractures in 

adults from 18 to 69 years using dynamic hip 

screw  (DHS)  and  an  additional  anti-rotation 

screw- a retrospective analysis of 53 patients 

after a mean follow-up time of 4 years. Eur J 

Trauma Emerg Surg 2022; 48: 1893-1903.

[21]  Matsubara T, Soma K, Yamada I, Fujita H, Yo

-

shitani J, Oka H, Okada H and Tanaka S. Offset 

nail fixation for intertrochanteric fractures im

-

proves reduction and lag screw position. PLoS 

One 2022; 17: e0276903.

[22]  Maffulli N and Aicale R. Proximal femoral frac

-

tures in the elderly: a few things to know, and 

some to forget. Medicina (Kaunas) 2022; 58: 

1314.

[23]  Lu Y, Huang Q, Xu Y, Ren C, Sun L, Dong W, Li 

M,  Xue  H,  Li  Z,  Zhang  K,  Ma  T  and  Wang  Q. 

Predictors of long-term mortality after intertro-

chanteric fractures surgery: a 3-year retrospec-

tive study. BMC Musculoskelet Disord 2022; 

23: 472.

[24] 

Liu D, Yu X, Chen L and Wang Z. Ipsilateral 

femoral neck, intertrochanteric and acetabular 

fractures with posterior dislocation of the hip: 

a case report and literature review. Medicine 

(Baltimore) 2023; 102: e36275.

[25]  Liao  CS,  He  FZ,  Li  XY  and  Han  PF.  Proximal 

femoral nail antirotation versus InterTan nail 

for the treatment of intertrochanteric frac-

tures: a systematic review and meta-analysis. 

PLoS One 2024; 19: e0304654.

[26]  Li H, Wang D, Zhang W, Xu G, Xu C, Zhang H, 

Zhang L, Li J and Tang P. Does computer-assist-

ed orthopaedics system (ADAPT system) im-

prove outcomes of intertrochanteric hip frac-

tures? Injury 2023; 54: 1047-1054.

[27] 

Lähdesmäki M, Ylitalo AA, Karjalainen L, Uim-

onen M, Mattila VM and Repo JP. Intramedul-

lary nailing of intertrochanteric femoral frac-

tures in a level i trauma center in finland: what 

complications  can  be  expected?  Clin  Orthop 

Relat Res 2024; 482: 278-288.

[28]  Katsuyama Y, Okuda Y, Kanamura H, Sasaki K, 

Saito T and Nakamura S. Surgical versus con-

servative treatment of greater trochanteric 

fractures with occult intertrochanteric frac-

tures: retrospective cohort study. Injury 2023; 

54: 111055.

[29]  Izawa Y, Futamura K, Murakami H, Shirakawa 

T, Nishida M, Baba T and Tsuchida Y. Risk fac-

tors for over-telescoping in reverse oblique in-

tertrochanteric fractures. Eur J Orthop Surg 

Traumatol 2023; 33: 1101-1107.

[30]  Huff  S,  Henningsen  J,  Schneider  A,  Hijji  F, 

Froehle A and Krishnamurthy A. Differences 

between intertrochanteric and femoral neck 

fractures in resuscitative status and mortality 

rates. Orthop Traumatol Surg Res 2022; 108: 

103231.

[31]  Huang  J  and  Wei  Q.  Comparison  of  helical 

blade versus lag screw in intertrochanteric 

fractures  of  the  elderly  treated  with  proximal 

femoral nail: a meta-analysis of randomized-

controlled trials. Jt Dis Relat Surg 2022; 33: 

695-704.

background image

Risk factors and predictive model for non-healing

5778 

Am J Transl Res 2025;17(7):5766-5778

[32]  Hongku  N,  Woratanarat  P,  Nitiwarangkul  L, 

Rattanasiri S and Thakkinstian A. Fracture fixa

-

tion versus hemiarthroplasty for unstable in-

tertrochanteric fractures in elderly patients: a 

systematic review and network meta-analysis 

of randomized controlled trials. Orthop Trau-

matol Surg Res 2022; 108: 102838.

[33]  Hantouly AT, Salameh M, Toubasi AA, Salman 

LA, Alzobi O, Ahmed AF and Ahmed G. The role 

of cerclage wiring in the management of sub-

trochanteric and reverse oblique intertrochan-

teric fractures: a meta-analysis of comparative 

studies. Eur J Orthop Surg Traumatol 2023; 

33: 739-749.

[34] 

Green J, Watson JT, Shaheen P and Kuldjanov 

D. Geriatric intertrochanteric fractures: what is 

the optimal follow-up period? J Orthop Trauma 

2023; 37: 557-561.

[35]  Goodnough LH, Wadhwa H, Tigchelaar SS, De

-

Baun MR, Chen MJ, Graves ML and Gardner 

MJ. Indications for cement augmentation in 

fixation  of  geriatric  intertrochanteric  femur 

fractures: a systematic review of evidence. 

Arch Orthop Trauma Surg 2022; 142: 2533-

2544.

[36]  Duan W, Liang H, Fan X, Zhou D, Wang Y and 

Zhang H. Research progress on the treatment 

of geriatric intertrochanteric femur fractures 

with  proximal  femur  bionic  nails  (PFBNs).  Or

-

thop Surg 2024; 16: 2303-2310.